
2022年11月7日,91唐伯虎 机电91唐伯虎 韩文霆研究员在农林科学类期刊Agricultural Water Management(中科院一区Top期刊)发表了题为“Evaluating maize evapotranspiration using high-resolution UAV-based imagery and FAO-56 dual crop coefficient approach”的研究论文。水保所张瑜为第一作者,韩文霆研究员为通讯作者。
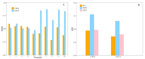
及时准确地估计作物蒸散量(ETc)对农田的有效灌溉管理至关重要。然而,有效的灌溉决策需要高时空分辨率的数据来提供田间异质性信息。本研究的目的是在FAO-56双作物系数方法的框架内,评估使用从无人机获得的光学和热红外信息来估算玉米的蒸散发。基于冠层温度的作物水分胁迫指数(CWSI)和高于冠层阈值指数(DACT)被用来确定胁迫系数(Ks)。采用归一化差异植被指数(NDVI)、土壤调整植被指数(SAVI)和增强植被指数(EVI)三种形式来确定基础作物系数(Kcb)。然后将两种形式的冠层温度指数与三种植被指数(VIs)结合起来对中国内蒙古西南地区两年不同灌溉处理下的玉米日蒸腾量进行了评估。结果表明,基于CWSI和NDVI的模型精度最好(R2 = 0.84,RMSE = 0.5 mm/day),基于DACT的模型精度也表现良好(R2 = 0.77-0.80,RMSE = 0.53 mm/day)。尽管结果随灌溉水平的变化而变化,但不同年份的ETc预测的日平均偏差误差(MBE)为0.48 mm/day。本研究结果说明植被指数和CWSI以及DACT的组合被推荐为估算ETc的替代方法,为高空间精度的农田灌溉管理提供了技术支持。

图1大田玉米蒸散量估算值与TDR测量值的比较

图2不同灌溉处理下的日蒸散量模型精度
原文链接://doi.org/10.1016/j.agwat.2022.108004